新闻网讯 近日,物理科学学院理论与计算物理中心团队李凯博士联合新奥能源研究院聚变理论模拟首席科学家谢华生博士在在核聚变领域Top期刊 Nuclear Fusion 上发表了题为“Bremsstrahlung radiation power in non-Maxwellian plasmas”的研究论文(2025 Nucl. Fusion 65 116027)。论文第一作者为硕士研究生杨朝桐,通讯作者是李凯博士和新奥能源研究院聚变理论模拟首席科学家谢华生博士,开运电竞,每一场竞技都是好运的开始为第一通讯单位。


核聚变等离子体中的轫致辐射功率损失是影响聚变增益的关键因素之一,深入理解其物理机制对未来聚变堆、尤其是先进的无中子聚变堆具有重要指导意义。在聚变等离子体中,轫致辐射包括电子-离子辐射和电子-电子辐射两种辐射类型。轫致辐射损失是聚变等离子体中最主要的能量损失途径之一,而在需要更高温的氢硼聚变等离子体中这一现象更为显著。
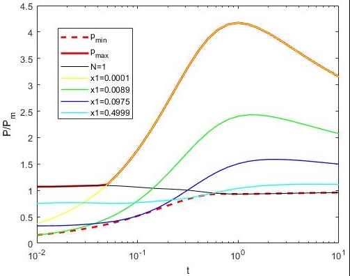
针对这一问题,本研究在保持总电子能量恒定的条件下,系统地考察了不同电子速度分布函数对轫致辐射功率的影响。研究结果表明,常见的电子速度分布函数对总辐射功率的影响较为有限。此外,本研究给出了在固定电子能量时轫致辐射功率的上下限,并且总结了辐射功率随分布函数变化的规律。电子-离子辐射功率依赖于电子能量分布的集中程度,在非相对论能区,能量集中会增强辐射功率,而在高温相对论能区,能量集中会抑制辐射。这种差异源于不同能区中高能电子对辐射贡献的显著不同。对于电子-电子轫致辐射,研究发现了类似的能量集中依赖性。除了对能量分布函数的依赖性外,电子-电子辐射功率还对速度分布函数有依赖性。这些规律为未来聚变装置的建设、抑制聚变堆中轫致辐射能量损失提供了重要的理论指导。